MAC INMOBILIARIA

  • 5569691589
  • MAC.easybroker.com

Departamento en Venta, Mapimi Cuauhtémoc

Valle Gómez, Cuauhtémoc

US$ 1,763,575 For Sale

  • 1 Bedrooms
  • 1 Bathrooms
  • 40 m² total space
  • New Age
  • 1500 Expenses
  • EB-UH2909 ID
Description

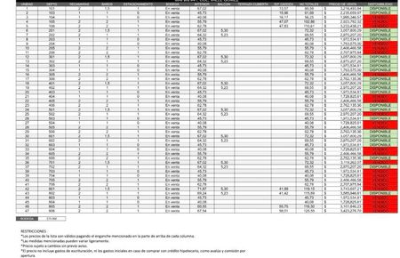
Departamentos para estrenar, modernos, con buena distribución, iluminación y ventilación natural.

Desde 40m2 y hasta 86.59m2, Precios desde $1'763,575.00 a $3'216,493.64. Algunos departamentos cuentan con balcón, otros cuentan con terraza en planta baja,  y otros con Roof Garden.

Cuentan con bodega y 1 cajón de estacionamiento. Vigilancia 24/7

UBICACIÓN:

Cerca del Circuito Interior, metro, metrobus y transporte caminando.

FORMAS DE PAGO; RECURSOS PROPIOS Y CREDITOS BANCARIOS. PRECIO SUJETO A CAMBIO SIN PREVIO AVISO Y SUJETO A DISPONIBILIDAD. EL PRECIO DE VENTA NO INCLUYE GASTOS NOTARIALES NI IMPUESTOS. www.remaxplatino.com.mx

Amenities
  • Balcony
  • Storge Unit
  • Fitted Kitchen
  • Elevator
  • 24 Hour Security
  • Single story

MAC INMOBILIARIA

  • 5569691589
  • MAC.easybroker.com